Elasticidad Precio de la Demanda
La elasticidad precio de la demanda mide el grado de respuesta de la cantidad demandada de un bien, ante el cambio en el precio de ese mismo bien. Se define como el cambio porcentual en la cantidad demandada dividido el cambio porcentual en el precio.


La elasticidad precio de la demanda es un concepto sumamente útil para describir la situación en el mercado de un bien o conjunto de bienes. La elasticidad puede ser útil a las empresas, para tomar decisiones de producción y marketing, a los gobiernos para tomar decisiones que afectan las cantidades consumidas de ciertos bienes y servicios y la recaudación fiscal, y también es útil en la regulación de ciertos mercados.
Por ejemplo, supongamos que el precio de las manzanas en cierta población aumenta de 9 a 11, la cantidad demandada por todas las familias de cierta población disminuye de 1.100 kilos mensuales a 900 kilos mensuales, calculemos la elasticidad precio en este caso.
La variación porcentual de la cantidad, es debe calcular la variación de la cantidad divida una cantidad, ¿Qué cantidad? ¿La inicial o la final? Una solución generalmente aceptada es usar un promedio. En este caso, tomamos el promedio entre 1.100 kilos y 900 kilos, o sea, 1.000 kilos. Lo mismo sucede para el precio, tomamos el promedio entre 9 y 11. La elasticidad calculada de este modo se denomina elasticidad arco


Vemos que la variación de la cantidad es negativa. Esto sucede porque, usualmente, la demanda de un bien disminuye cuando aumenta su precio. Es por esto que la elasticidad precio de la demanda suele tener signo negativo. Hay excepciones, como los bienes Giffen y los bienes de Veblen.
Gráficamente:

Veamos ahora el concepto de elasticidad punto, que es distinto del concepto de elasticidad arco.
En lugar de tomar el promedio de dos puntos, la elasticidad punto se calcula usando el cálculo diferencial. Es decir, calcula la relación entre el cambio porcentual en la cantidad demandada y el cambio porcentual en el precio, ante un cambio infinitesimal en el precio.
Entonces, la fórmula para la elasticidad punto de la demanda es la siguiente:
\[E_pd = \frac { \frac { dQ_d } {Q_d} } { \frac {dP_d} {P_d} } \]
Nota que usamos \(d\) en lugar de \(\Delta\) , porque nos estamos refiriendo a cambios infinitesimales.
Entonces:
\[E_pd = \frac { dQ_d } {dP_d} . \frac {P_d} {Q_d} \]
La elasticidad punto sólo puede ser calculada si la derivada de la función de demanda con respecto al precio puede ser calculada. En nuestro caso, tenemos que la derivada en cuestión \( \frac{dQ_d}{ dP_d } \) es -100.
Volvamos al ejemplo y calculemos la elasticidad punto en el caso de un aumento del precio, desde 9 a 11. Las cantidad en el punto inicial era de 1.100.
\[E_pd = -100 . \frac{9}{1.100}\]
\[E_pd = -0.818181 \]
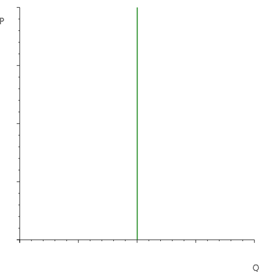
Demanda Perfectamente Inelástica
Cuando la elasticidad precio de la demanda es cero, la cantidad demandada no varía ante variaciones del precio. Esto se puede dar en ciertos mercados en el corto plazo. Un ejemplo puede ser la insulina para los pacientes diabéticos insulinodependientes.
Gráficamente:

Demanda Inelástica
Se denomina a la demanda inelástica, o relativamente inelástica, cuando la elasticidad precio de la demanda se encuentra entre cero y -1. En este caso, la cantidad varía, pero relativamente poco. Un ejemplo puede ser el mercado del agua envasada en un pueblo que no dispone de agua potable de red.
Gráficamente:

Demanda con elasticidad unitaria
En este caso especial, el cambio porcentual en la cantidad es igual al cambio porcentual en el precio.

Demanda elástica
Se llama a la demanda, elástica, o relativamente elástica, cuando la elasticidad precio de la demanda se encuentra entre -1 y -∞ . En términos absolutos, cuando la elasticidad precio de la demanda en términos absolutos es mayor que 1.
Esto significa que la demanda reacciona "fuértemente" ante un cambio en el precio. Por ejemplo, si el precio de una marca de gaseosas sube, manteniéndose todo lo demás, incluido el precio del resto de las marcas, constante.

Demanda perfectamente elástica
Cuando la demanda es horizontal, se dice que es perfectamente elástica. Es un caso especial. Un cambio infinitesimal en el precio, causará un cambio infinitamente grande en la cantidad demandada.

Cambios en la elasticidad de demanda con una demanda lineal
A pesar que la función de demanda pueda tener una pendiente constante, esto no significa que la elasticidad precio de la demanda sea constante a lo largo de la misma. Esto se puede observar en el siguiente gráfico:

Demanda con elasticidad constante
Hay casos especiales de la función de demanda, que tienen la misma elasticidad a lo largo de toda la demanda. Estas demandas se denominan isoelásticas y tienen la siguiente forma matemática:
\[ Q = \frac {A}{p^B} \]
Quienes sepan cálculo diferencial, pueden hacer la prueba derivando Q respecto a P y reemplazando este valor en la fórmula de la elasticidad.
La elasticidad precio de la demanda es B.
Gráficamente:

Si B=1 , la elasticidad es constante e igual a 1. Si B>1, la demanda es relativamente elástica en toda la curva de demanda y si B
Factores que afectan la elasticidad
Corto Plazo vs. Largo Plazo
Ante cambios en el precio, en el largo plazo los consumidores tienen mas posibilidades de adaptar sus hábitos de consumo. Por ejemplo, si se produce un gran aumento del precio de la gasolina pero se mantiene constante el precio del gas oil y este cambio se mantiene en el tiempo, en un principio, la cantidad de gasolina consumida puede disminuir, pero con el paso de los años, los compradores de automóviles tendrán en cuenta los precios de ambos carburantes antes de realizar su elección entre comprar vehículos a gasolina o a gas oil, e irán comprando mas automóviles a gas oil (suponiendo que los precios de los automóviles no varían). De este modo, con el correr de los años, el consumo de gasolina disminuirá aún mas.
Disponibilidad de bienes sustitutos
Los bienes sustitutos son aquellos que pueden satisfacer la misma necesidad, aunque sea sólo parcialmente. Un sustituto cercano tiene una gran capacidad para reemplazar a otro producto, por ejemplo, un bolígrafo de una marca puede reemplazar a un bolígrafo de otra marca. Mientras mas bienes sustitutos tenga un bien, y mas cercanos sean los mismo, mas elástica será su demanda. Lo inverso sucede en aquellos bienes que tienen pocos sustitutos, por ejemplo, medicamentos.
También hay que tener en cuenta el análisis particular que se está realizando. Un medicamento de determinada marca para tratar el dolor de cabeza, puede tener como sustituto cercano a una marca alternativa. Sin embargo, si analizamos los medicamentos para tratar el dolor de cabeza en general, habrá pocos bienes sustitutos.
Algunos datos de la elasticidad precio
Es muy difícil calcular los valores de las elasticidades en la vida real. Además, la elasticidad varía con el precio y las funciones de demanda no son constantes en el tiempo. Para estimar la elasticidad de la demanda de diversos grupos de bienes, se utilizan modelos de demanda y se ajustan con datos reales. A continuación presentamos los datos de las elasticidades de diferentes países seleccionados, obtenidos por una investigación que analizó los patrones de gasto en 114 países:
| Country | Comida, Bebida y Tabaco | Ropa y Calzado | Vivienda | Amoblamiento de vivienda | Medicina y salud | Transporte y comunicaciones | Recreación | Educación |
| Bolivia | 0.554 | 0.709 | 0.786 | 0.772 | 1.077 | 0.869 | 1.267 | 0.680 |
| Paraguay | 0.541 | 0.709 | 0.785 | 0.772 | 1.037 | 0.863 | 1.176 | 0.679 |
| Colombia | 0.530 | 0.709 | 0.784 | 0.771 | 1.012 | 0.858 | 1.125 | 0.678 |
| Peru | 0.525 | 0.709 | 0.784 | 0.771 | 1.004 | 0.856 | 1.110 | 0.678 |
| Venezuela | 0.516 | 0.709 | 0.783 | 0.771 | 0.990 | 0.854 | 1.084 | 0.677 |
| Brazil | 0.515 | 0.709 | 0.783 | 0.771 | 0.989 | 0.853 | 1.081 | 0.677 |
| Chile | 0.498 | 0.708 | 0.782 | 0.770 | 0.969 | 0.849 | 1.045 | 0.676 |
| Uruguay | 0.498 | 0.708 | 0.782 | 0.770 | 0.969 | 0.849 | 1.045 | 0.676 |
| Argentina | 0.491 | 0.708 | 0.782 | 0.770 | 0.962 | 0.847 | 1.034 | 0.676 |
| Mexico | 0.474 | 0.708 | 0.781 | 0.770 | 0.949 | 0.844 | 1.011 | 0.675 |
| Spain | 0.369 | 0.707 | 0.779 | 0.768 | 0.907 | 0.832 | 0.946 | 0.670 |
Fuente: Seale et. al 2003

Referencias:
Seale J., Regmi A., Bernstein J. - 2003 International Evidence on Food Consumption Patterns Electronic Report from the Economic Research Service, United States Department of Agriculture, Bulletin number 1904 - Disponible en http://www.ers.usda.gov/publications/tb1904/tb1904.pdf
- 1.Demanda Perfectamente Inelástica
- 2.Demanda Inelástica
- 3.Demanda con elasticidad unitaria
- 4.Demanda elástica
- 5.Demanda perfectamente elástica
- 6.Cambios en la elasticidad de demanda con una demanda lineal
- 7.Demanda con elasticidad constante
- 8.Factores que afectan la elasticidad
- 9.Algunos datos de la elasticidad precio
zonaeconomica.com "Elasticidad Precio de la Demanda" [en linea]
Dirección URL: https://www.zonaeconomica.com/elasticidad-precio-demanda (Consultado el 17 de Mayo de 2026)