Test de Chow
Los modelos econométricos representan las relaciones que se desean comprobar a partir de un conjunto de parámetros “β” que ligan, la variable endógena Y con las exógenas X (o explicativas):
Yi = β1 X1i + β2 X2i + ... + ui
En términos analíticos se establece como hipótesis de partida que los parámetros “βj” asociados a cada variable exógena son únicos y válidos para representar la relación entre la variable dependiente “yi” y cada una de las variables regresoras “xj” en la muestra de datos seleccionada. Esto es, los parámetros son idénticos para todas las muestras analizadas, y por lo tanto la estructura de relaciones entre variables se mantiene constante. La hipótesis a probar sería:
Ho: b1j1= b1j2
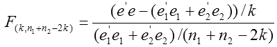
Es decir que no hay cambio estructural en los parámetros entre los periodos analizados. Existen múltiples mecanismos para probar dicha hipótesis tales como el Test de Chow, el Contraste de Wald, los ratios de verosimilitud o el test del multiplicador de Lagrange (Lohr, 1999). Para el caso que compete aquí se escogido el primero de ellos (Test de Chow), que permite a partir de un análisis de los errores estándar de las dos estimaciones por separado y otra tercera uniendo ambas muestras, verificar si se dio cambio estructural en los parámetros mediante la siguiente ecuación:

Donde (e’e) es la suma cuadrática residual para el modelo global estimado con “n” datos, (e1’e1) es la suma cuadrática residual para el modelo estimado en la primera submuestra de tamaño “n1” y (e2’e2) es la suma cuadrática residual para el modelo estimado en la segunda submuestra de tamaño “n2”.
El valor estimado, entonces, debe encontrarse en el intervalo denotado por (k, n1+ n2 – 2k) con una probabilidad que no supere el valor crítico de tablas para una distribución F. Para los modelos que aquí se plantearon los datos arrojados por el test de Chow indican que hay estabilidad estructural.
Teste de Chow
F (5, 6662) = 44.2
Prob > Chi2 = 0.0005 ____ Estabilidad Estructural
León Darío Parra Bernal "Test de Chow" [en linea]
Dirección URL: https://www.zonaeconomica.com/heterogeneidad-sector-informal/test-de-chow (Consultado el 15 de Mar de 2026)
José Ángel Bejarano Cortez- Tijuana, B. C., 10 de junio de 2013
